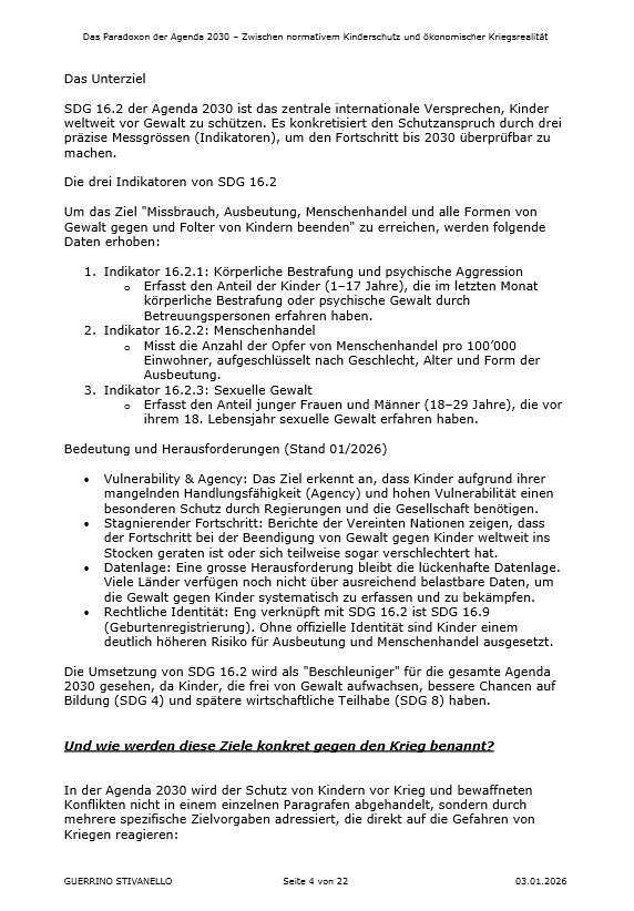
Kinderschutz

Pressemitteilung - Essay

Kinderschutz,Stivanello,Agenda 2030,Neuromanagement,Friedensnobelpreis,Wahrheit,Management,Missbrauch,Mr Mike Management-Conceptions,Pressemitteilung,Essay,Familie,

Paradoxon: Agenda 2030 - Kinderschutz?

Achtung: Ab 18 Jahren!

05.01.2026

 

Themenbereiche: 


Abhängigkeitsmanagement, Agenda, Analyse, Aufruf, Egoismus, Empathie, Entfremdung, Erbverlust, Erfahrung, Erkennen, Familienschutz, Friedensnobelpreis, Gemeinsam, Haftung, Handeln, Jetzt, Kinderschutz, Kindertötungen, Kollateralschaden, Kontrolle, Kostenfolgen, Krieg, Leben, Legitimation, Lösung, Lüge, Missbrauch, Mitgefühl, Muster, Paradoxon, Rechte, Schutz, System, Täuschung, Unbequem, Umsetzen, Verantwortung, Verstehen, Wahrheit, WertABschöpfer, Wertschöpfer, Zeit, Zerstörung 

 

 Paradoxon: Agenda 2030 - Kinderschutz?

 

Werden wir getäuscht?

 

Unbequeme Wahrheit?

 

Wissen schafft Demut!

 

Ø Aufruf zum Handeln im echten Kinderschutz!

 

 

Ausführliche Fassung

 

neuromanagement,Mr.Mike Management,Blog,

Mi

30

Apr

2025

Filmriss - Verdingkinder

verdingkinder,buch,verdingbub,filmriss,entfremdung,traumatisierung,familie,verdingbueb,biografie,tatsachenbericht,kinderseele,schrei,
mehr lesen

Mi

01

Jan

2025

REFERATE, VORTRÄGE

Neuromanagement,Referate,Vorträge,Referat,Vortrag,
mehr lesen

Di

29

Okt

2024

EVENT

event,mr.mike management,einzigartig,effizient,lösung,erfahren,
mehr lesen

Di

17

Dez

2019

STOP BRAIN-BRANDING

Stop,Brainbranding,Neuromanagement,mr.mike,management,effizient
mehr lesen

Mi

23

Okt

2019

Evidenzbasierte Analytik

neuromanagement,evidenzbasiert,Analytik
mehr lesen

Mo

11

Jun

2018

PostTraumatischeBelastungsStörung

PTBS,posttraumatische,belastungsstörung,neuromanagement,Mr.Mike,Management,komplementär,medizin,
mehr lesen